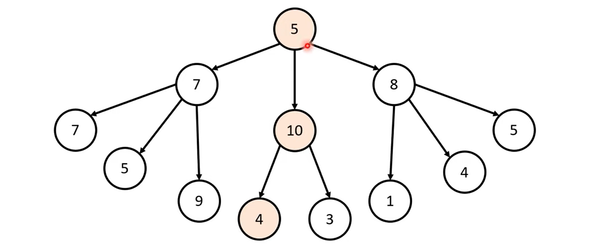
[문제 상황] 루트 노드부터 시작하여 거쳐 가는 노드 값의 합을 최대로 만들고 싶습니다.


| [Python] 그리디 알고리즘 곱하기 혹은 더하기 - multiply or add (0) | 2022.06.07 |
|---|---|
| [Python] 그리디 알고리즘 1이 될때까지 - Greedy until one (0) | 2022.06.06 |
| [Python] 그리디 알고리즘 거스름돈 - Greedy Change (0) | 2022.06.06 |
| [Python] 실전에서 유용한 표준 라이브러리 - Standard library useful in practice (0) | 2022.06.06 |
| [Python] 함수 - function (0) | 2022.06.05 |
댓글 영역