


Given the head of a linked list, return the node where the cycle begins. If there is no cycle, return null.
There is a cycle in a linked list if there is some node in the list that can be reached again by continuously following the next pointer. Internally, pos is used to denote the index of the node that tail's next pointer is connected to (0-indexed). It is -1 if there is no cycle. Note that pos is not passed as a parameter.
Do not modify the linked list.
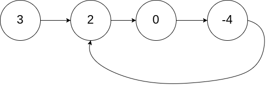
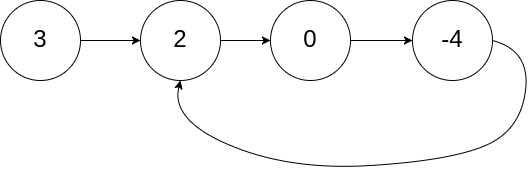
Example 1:

Input: head = [3,2,0,-4], pos = 1
Output: tail connects to node index 1
Explanation: There is a cycle in the linked list, where tail connects to the second node.
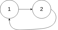
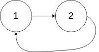
Example 2:

Input: head = [1,2], pos = 0
Output: tail connects to node index 0
Explanation: There is a cycle in the linked list, where tail connects to the first node.
Example 3:

Input: head = [1], pos = -1
Output: no cycle
Explanation: There is no cycle in the linked list.
Constraints:
Follow up: Can you solve it using O(1) (i.e. constant) memory?
func detectCycle(head *ListNode) *ListNode {
slow, fast := head, head
hasCycle := false
for slow != nil && fast != nil && fast.Next != nil {
slow = slow.Next
fast = fast.Next.Next
if slow == fast {
hasCycle = true
break
}
}
if hasCycle {
slow = head
} else {
return nil
}
for slow != fast {
slow = slow.Next
fast = fast.Next
}
return slow
}



func detectCycle(head *ListNode) *ListNode {
var s struct{}
if head == nil {
return nil
}
slow := head
a := make(map[*ListNode]struct{})
for slow.Next != nil {
if _, ok := a[slow]; !ok {
a[slow] = s
} else {
return slow
}
slow = slow.Next
}
return nil
}
func detectCycle(head *ListNode) *ListNode {
if head == nil {
return head
}
slow, fast := head, head
for fast != nil && fast.Next != nil {
slow, fast = slow.Next, fast.Next.Next
if slow == fast {
// loop detected
start := head
for start != slow {
start, slow = start.Next, slow.Next
}
return slow
}
}
return nil
}
func detectCycle(head *ListNode) *ListNode {
if head == nil || head.Next == nil {
return nil
}
slow, fast := head, head
for slow != nil && fast != nil && fast.Next != nil {
slow = slow.Next
fast = fast.Next.Next
if slow == fast {
break
}
}
if fast == nil || fast.Next == nil {
return nil
}
slow = head
for slow != fast {
slow = slow.Next
fast = fast.Next
}
return slow
}
func detectCycle(head *ListNode) *ListNode {
if head == nil {
return nil
}
var slow, fast = head, head
for {
if fast == nil || fast.Next == nil || slow == nil {
return nil
}
slow = slow.Next
fast = fast.Next.Next
if slow == fast {
break
}
}
var slow2 = head
for slow2 != slow {
slow, slow2 = slow.Next, slow2.Next
}
return slow
}
func detectCycle(head *ListNode) *ListNode {
if head == nil || head.Next == nil {
return nil
}
slow, fast := head, head
var meetingPoint *ListNode
for {
if slow.Next == nil || fast.Next == nil || fast.Next.Next == nil {
break
}
slow = slow.Next
fast = fast.Next.Next
if slow == fast {
meetingPoint = slow
break
}
}
if meetingPoint == nil {
return nil
}
fromHead, fromMeetingPoint := head, meetingPoint
for {
if fromHead == fromMeetingPoint {
return fromHead
break
}
fromHead = fromHead.Next
fromMeetingPoint = fromMeetingPoint.Next
}
return nil
}
func detectCycle(head *ListNode) *ListNode {
if (head == nil || head.Next == nil) {
return nil
}
slow := head
intersection := meetPoint(head)
if intersection == nil {
return nil
}
for (slow != intersection) {
slow = slow.Next
intersection = intersection.Next
}
return slow
}
func meetPoint(head *ListNode) *ListNode {
if (head == nil || head.Next == nil) {
return nil
}
p1 := head
p2 := head
for (p1 != nil && p2 != nil) {
if p1.Next != nil {
p1 = p1.Next
} else {
p1 = nil
}
if p2.Next != nil {
p2 = p2.Next.Next
} else {
p2 = nil
}
if p1 == p2 {
return p1
}
}
return nil
}
func detectCycle(head *ListNode) *ListNode {
if head == nil || head.Next == nil {
return nil
}
s, f := head, head
for f != nil && f.Next != nil {
s = s.Next
f = f.Next.Next
if s == f {
break
}
}
if s != f {
return nil
}
f = head
for s != f {
s = s.Next
f = f.Next
}
return s
}
func detectCycle(head *ListNode) *ListNode {
if head == nil || head.Next == nil {
return nil
}
slow := head
fast := head
for {
if slow.Next != nil {
slow = slow.Next
}
if fast.Next != nil && fast.Next.Next != nil {
fast = fast.Next.Next
} else {
return nil
}
if fast == slow {
break
}
}
slow = head
for slow != fast {
slow = slow.Next
fast = fast.Next
}
return slow
}
func detectCycle(head *ListNode) *ListNode {
fast:=head
slow:=head
for fast!=nil && fast.Next!=nil{
fast=fast.Next.Next
slow=slow.Next
if fast==slow {break}
}
if fast==nil || fast.Next==nil{
return nil
}
slow=head
for slow!=fast{
slow=slow.Next
fast=fast.Next
}
return slow
}
func detectCycle_0(head *ListNode) *ListNode {
fast:=head
slow:=head
for fast!=nil && fast.Next!=nil{
fast=fast.Next.Next
slow=slow.Next
if fast==slow{
break
}
}
if fast==nil || fast.Next==nil{
return nil
}
for head!=slow{
head=head.Next
slow=slow.Next
}
return slow
}
func detectCycle(head *ListNode) *ListNode {
fast,slow:=head,head
for ;fast!=nil && fast.Next!=nil;{
fast=fast.Next.Next
slow=slow.Next
if(fast==slow){
slow=head
for;;{
if(fast==slow){
return slow
}
fast=fast.Next
slow=slow.Next
}
}
}
return nil
}
func detectCycle(head *ListNode) *ListNode {
if head == nil {
return nil
}
fast := head
slow := head
for fast != nil && fast.Next != nil {
fast = fast.Next.Next
slow = slow.Next
if fast == slow {
// edge case: when head is the beginning of the cycle
//if slow.Next == entry {
// return entry
//}
slow = head
for fast != slow {
fast = fast.Next
slow = slow.Next
}
return slow
}
}
return nil
}
func detectCycle(head *ListNode) *ListNode {
if head == nil || head.Next == nil {
return nil
}
fast := head
slow := head
for {
if fast == nil || slow == nil || fast.Next == nil || slow.Next == nil {
break
}
fast = fast.Next.Next
slow = slow.Next
if fast == slow {
fast = head
for fast != slow {
fast = fast.Next
slow = slow.Next
}
return fast
}
}
return nil
}
func detectCycle(head *ListNode) *ListNode {
if head == nil || head.Next == nil {
return nil
}
hasCycle := false
slow, fast := head, head.Next.Next
for fast != nil && fast.Next != nil {
if hasCycle = slow == fast; hasCycle {
break
}
slow, fast = slow.Next, fast.Next.Next
}
if !hasCycle {
return nil
}
seen := make(map[*ListNode]bool)
for !seen[slow] {
seen[slow] = true
slow = slow.Next
}
for !seen[head] {
head = head.Next
}
return head
}
func detectCycle(head *ListNode) *ListNode {
m := make(map[*ListNode]struct{})
for head != nil {
if _, ok := m[head]; ok {
return head
}
m[head] = struct{}{}
head = head.Next
}
return nil
}
| [Go] Linked List - Summary - Two-Pointer in Linked List from Java to Go (0) | 2022.05.01 |
|---|---|
| [Go] Linked List - Remove Nth Node From End of List (0) | 2022.05.01 |
| [Go] Linked List - Linked List Cycle (0) | 2022.04.30 |
| [Go] Linked List - Singly Linked List - Design Linked List (0) | 2022.04.29 |
| [Go] Linked list - Singly Linked List - Introduction from java to Go (0) | 2022.04.16 |
댓글 영역