


Given head, the head of a linked list, determine if the linked list has a cycle in it.
There is a cycle in a linked list if there is some node in the list that can be reached again by continuously following the next pointer. Internally, pos is used to denote the index of the node that tail's next pointer is connected to. Note that pos is not passed as a parameter.
Return true if there is a cycle in the linked list. Otherwise, return false.
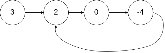
Example 1:

Input: head = [3,2,0,-4], pos = 1
Output: true
Explanation: There is a cycle in the linked list, where the tail connects to the 1st node (0-indexed).
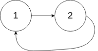
Example 2:

Input: head = [1,2], pos = 0
Output: true
Explanation: There is a cycle in the linked list, where the tail connects to the 0th node.
Example 3:

Input: head = [1], pos = -1
Output: false
Explanation: There is no cycle in the linked list.
Constraints:
Follow up: Can you solve it using O(1) (i.e. constant) memory?
func hasCycle(head *ListNode) bool {
if head == nil {
return false
}
slow, fast := head, head.Next
for slow != nil && fast != nil && fast.Next != nil && slow != fast {
slow = slow.Next
fast = fast.Next.Next
}
return slow == fast
}
func hasCycle(head *ListNode) bool {
if head == nil || head.Next == nil {
return false
}
var fast, slow *ListNode
fast = head.Next
slow = head
for fast != nil && fast.Next != nil {
if fast == slow {
return true
}
fast = fast.Next.Next
slow = slow.Next
}
return false
}
func hasCycle(head *ListNode) bool {
if head == nil || head.Next == nil {
return false
}
slow, fast := head, head.Next
for slow != fast {
if slow.Next != nil && fast.Next != nil && fast.Next.Next != nil {
slow = slow.Next
fast = fast.Next.Next
} else {
return false
}
}
return true
}
func hasCycle(head *ListNode) bool {
slow, fast := head, head
for fast != nil && fast.Next != nil {
slow = slow.Next
fast = fast.Next.Next
if slow == fast {
return true
}
}
return false
}
func hasCycle(head *ListNode) bool {
//change values to mark them as seen as you go
// use a hashmap/ keep track of how many things point to each node
// trying to think of an o(1) space without changing the values but thats probably not possible
if (head == nil) {
return false;
} else if (head.Val == 1000000) {
return true;
} else {
head.Val = 1000000;
return hasCycle(head.Next);
}
}
func hasCycle(head *ListNode) bool {
if head == nil || head.Next == nil {
return false
}
hare := head.Next.Next
tortoise := head.Next
for hare != tortoise {
if hare == nil || tortoise.Next == nil || hare.Next == nil {
return false
}
hare = hare.Next.Next
tortoise = tortoise.Next
}
return true
}
func hasCycle(head *ListNode) bool {
if head == nil || head.Next == nil {
return false
}
tracker := head.Next
for tracker != nil && tracker.Next != nil {
if head == tracker {
return true
}
head = head.Next
tracker = tracker.Next.Next
}
return false
}
func hasCycle(head *ListNode) bool {
if head == nil {
return false
}
fast := head.Next
slow := head
for fast != nil && fast.Next != nil {
if fast == slow {
return true
}
fast = fast.Next.Next
slow = slow.Next
}
return false
}
func hasCycle(head *ListNode) bool {
slowP := head
fastP := head
for slowP != nil && fastP != nil && fastP.Next != nil {
slowP = slowP.Next
fastP = fastP.Next.Next
if slowP == fastP {
return true
}
}
return false
}
// func hasCycle(head *ListNode) bool {
// slowP := head
// if head == nil {
// return false
// }
// fastP := head.Next
// for {
// if slowP == nil || fastP == nil {
// return false
// }
// if slowP == fastP {
// return true
// }
// slowP = slowP.Next
// fastP = fastP.Next.Next
// }
// return false
// }
// func hasCycle(head *ListNode) bool {
// nodeMap := make(map[*ListNode]*ListNode, 0)
// for {
// if head == nil {
// return false
// }
// if _, ok := nodeMap[head]; ok {
// return true
// }
// nodeMap[head] = head
// head = head.Next
// }
// }
// import "fmt"
// func main() {
// fmt.Println("Hello, 世界")
// qq := ListNode{Val: 3, Next: nil}
// pp := ListNode{Val: 2, Next: &qq}
// ll := ListNode{Val: 1, Next: &pp}
// qq.Next = &ll
// fmt.Print(hasCycle(&ll))
// }| [Go] Linked List - Remove Nth Node From End of List (0) | 2022.05.01 |
|---|---|
| [Go] Linked List - Linked List Cycle2(Detect Cycle) (0) | 2022.05.01 |
| [Go] Linked List - Singly Linked List - Design Linked List (0) | 2022.04.29 |
| [Go] Linked list - Singly Linked List - Introduction from java to Go (0) | 2022.04.16 |
| [Go] Array and string - Reverse Words in a String III (0) | 2022.04.16 |
댓글 영역