

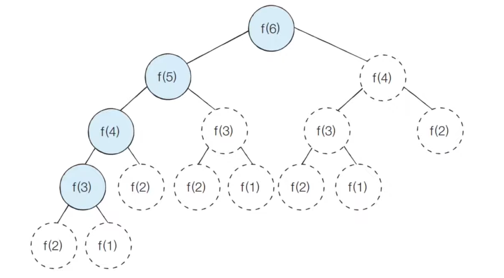
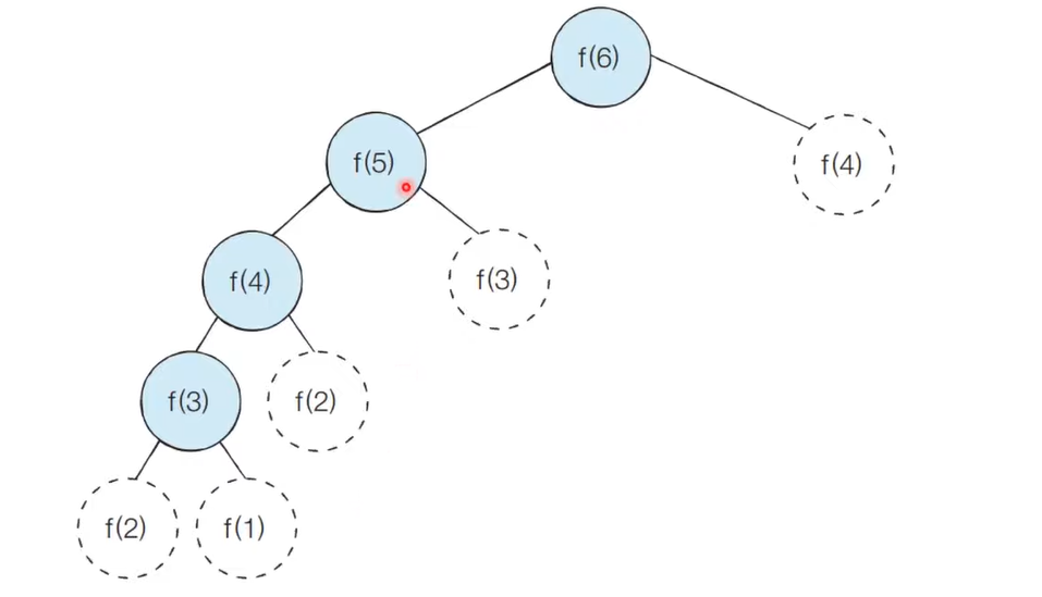
d = [0] * 100
def fibo(x):
print('f(' + str(x) + ')', end=' ')
if x == 1 or x == 2:
return 1
if d[x] != 0:
return d[x]
d[x] = fibo(x - 1) + fibo(x - 2)
return d[x]
fibo(6)
# f(6) f(5) f(4) f(3) f(2) f(1) f(2) f(3) f(4)| [Python] 다이나믹 프로그래밍(8) - 개미전사 (0) | 2022.06.25 |
|---|---|
| [Python] 다이나믹 프로그래밍(7) - 다이나믹 Vs 분할 정복 (0) | 2022.06.24 |
| [Python] 다이나믹 프로그래밍(5) - 피보나치 수열(보텀업) (0) | 2022.06.24 |
| [Python] 다이나믹 프로그래밍(4) - 피보나치 수열(탑다운) (0) | 2022.06.24 |
| [Python] 다이나믹 프로그래밍(3) - 메모이제이션 (Memoization) (0) | 2022.06.24 |
댓글 영역