


Given the heads of two singly linked-lists headA and headB, return the node at which the two lists intersect. If the two linked lists have no intersection at all, return null.
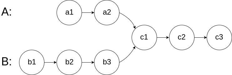
For example, the following two linked lists begin to intersect at node c1:

The test cases are generated such that there are no cycles anywhere in the entire linked structure.
Note that the linked lists must retain their original structure after the function returns.
Custom Judge:
The inputs to the judge are given as follows (your program is not given these inputs):
The judge will then create the linked structure based on these inputs and pass the two heads, headA and headB to your program. If you correctly return the intersected node, then your solution will be accepted.
Example 1:

Input: intersectVal = 8, listA = [4,1,8,4,5], listB = [5,6,1,8,4,5], skipA = 2, skipB = 3
Output: Intersected at '8'
Explanation: The intersected node's value is 8 (note that this must not be 0 if the two lists intersect).
From the head of A, it reads as [4,1,8,4,5]. From the head of B, it reads as [5,6,1,8,4,5]. There are 2 nodes before the intersected node in A; There are 3 nodes before the intersected node in B.
Example 2:

Input: intersectVal = 2, listA = [1,9,1,2,4], listB = [3,2,4], skipA = 3, skipB = 1
Output: Intersected at '2'
Explanation: The intersected node's value is 2 (note that this must not be 0 if the two lists intersect).
From the head of A, it reads as [1,9,1,2,4]. From the head of B, it reads as [3,2,4]. There are 3 nodes before the intersected node in A; There are 1 node before the intersected node in B.
Example 3:

Input: intersectVal = 0, listA = [2,6,4], listB = [1,5], skipA = 3, skipB = 2
Output: No intersection
Explanation: From the head of A, it reads as [2,6,4]. From the head of B, it reads as [1,5]. Since the two lists do not intersect, intersectVal must be 0, while skipA and skipB can be arbitrary values.
Explanation: The two lists do not intersect, so return null.
Constraints:
Follow up: Could you write a solution that runs in O(m + n) time and use only O(1) memory?
func getIntersectionNode(headA, headB *ListNode) *ListNode {
s := struct{}{}
a := make(map[*ListNode]struct{})
for headA != nil {
a[headA] = s
headA = headA.Next
}
for headB != nil {
if _, ok := a[headB]; ok {
return headB
}
headB = headB.Next
}
return nil
}
https://go.dev/play/p/DwS5Yi9LKTu



https://go.dev/play/p/8-9-_YhN0Of
func getIntersectionNode(headA, headB *ListNode) *ListNode {
s := struct{}{}
a := make(map[*ListNode]struct{})
for {
if headA != nil {
if _, ok := a[headA]; ok {
return headA
} else {
a[headA] = s
headA = headA.Next
}
}
if headB != nil {
if _, ok := a[headB]; ok {
return headB
} else {
a[headB] = s
headB = headB.Next
}
}
if headA == nil && headB == nil {
break
}
}
return nil
}
func getIntersectionNode(headA, headB *ListNode) *ListNode {
pa, pb := headA, headB
for pa != pb {
if pa == nil {
pa = headB
} else {
pa = pa.Next
}
if pb == nil {
pb = headA
} else {
pb = pb.Next
}
}
return pa
}
func OLD_getIntersectionNode(headA, headB *ListNode) *ListNode {
visited := map[*ListNode]struct{}{}
for {
if headA != nil {
if _, seen := visited[headA]; seen {
return headA
}
visited[headA] = struct{}{}
headA = headA.Next
}
if headB != nil {
if _, seen := visited[headB]; seen {
return headB
}
visited[headB] = struct{}{}
headB = headB.Next
}
if headA == nil && headB == nil {
break
}
}
return nil
}
/**
* Definition for singly-linked list.
* type ListNode struct {
* Val int
* Next *ListNode
* }
*/
func getIntersectionNode(headA, headB *ListNode) *ListNode {
if headA == nil || headB == nil {
return nil
}
pA, pB := headA, headB
for pA != pB {
if pA == nil {
pA = headB
} else {
pA = pA.Next
}
if pB == nil {
pB = headA
} else {
pB = pB.Next
}
}
return pA
}
/**
* Definition for singly-linked list.
* type ListNode struct {
* Val int
* Next *ListNode
* }
*/
func getIntersectionNode(headA, headB *ListNode) *ListNode {
curA := headA
curB := headB
for (curA != curB){
if curA == nil {
curA = headB
} else {
curA = curA.Next
}
if curB == nil {
curB = headA
} else {
curB = curB.Next
}
}
return curA
}
/**
* Definition for singly-linked list.
* type ListNode struct {
* Val int
* Next *ListNode
* }
*/
func getIntersectionNode(headA, headB *ListNode) *ListNode {
p, q := headA, headB
for p != q {
if p == nil {
p = headB
} else {
p = p.Next
}
if q == nil {
q = headA
} else {
q = q.Next
}
}
return p
}
func getIntersectionNode(headA, headB *ListNode) *ListNode {
lenA := linkListLen(headA)
lenB := linkListLen(headB)
if lenA == 0 || lenB == 0 {
return nil
}
if lenA > lenB {
for i := 0; i < lenA - lenB; i++ {
headA = headA.Next
}
} else if lenB > lenA {
for i := 0; i < lenB - lenA; i++ {
headB = headB.Next
}
}
for ;headA != nil && headB != nil; {
if headA == headB {
return headA
}
headA = headA.Next
headB = headB.Next
}
return nil
}
func linkListLen(linkList *ListNode) (ret int) {
for curr := linkList; curr != nil; curr = curr.Next {
ret ++
}
return ret
}
func getIntersectionNode(headA, headB *ListNode) *ListNode {
curr := headA
Alen := 0
Blen := 0
for curr != nil {
Alen++
curr = curr.Next
}
curr = headB
for curr != nil {
Blen++
curr = curr.Next
}
diff := Alen-Blen
if Alen > Blen {
// Bring A list to B list
for i:=0;i<diff;i++ {
headA = headA.Next
}
} else {
for i:=0;i<diff*-1;i++ {
headB = headB.Next
}
}
for headA != headB {
headA = headA.Next
headB = headB.Next
}
return headA
}
func getIntersectionNode(headA, headB *ListNode) *ListNode {
if headA == nil || headB == nil {
return nil
}
itA := headA
itB := headB
for itA != itB {
if itA != nil {
itA = itA.Next
} else {
itA = headB
}
if itB != nil {
itB = itB.Next
} else {
itB = headA
}
}
return itA
}
func getIntersectionNode(headA, headB *ListNode) *ListNode {
listOne := headA
if headA == headB{
return headA
}
for {
if listOne == nil{
break
}
listTwo := headB
for {
if listTwo == nil{
break
}
if listOne == listTwo{
return listOne
}
listTwo = listTwo.Next
}
listOne = listOne.Next
}
return nil
}
func getIntersectionNode(headA, headB *ListNode) *ListNode {
listA := headA
for listA != nil {
listB := headB
for listB != nil {
if listA == listB {
return listA
}
listB = listB.Next
}
listA = listA.Next
}
return listA
}
func getIntersectionNode(headA, headB *ListNode) *ListNode {
listOne := headA
if headA == headB{
return headA
}
for {
if listOne == nil{
break
}
// listOne = listOne.Next
listTwo := headB
for {
if listTwo == nil{
break
}
if listOne == listTwo{
return listOne
}
listTwo = listTwo.Next
}
listOne = listOne.Next
}
return nil
}
func getIntersectionNode(headA, headB *ListNode) *ListNode {
lenHeadA, lenHeadB, newHeadA, newHeadB := 1, 1, headA, headB
for ref1 := headA; ref1 != nil && ref1.Next != nil; ref1 = ref1.Next {
lenHeadA++
}
for ref2 := headB; ref2 != nil && ref2.Next != nil; ref2 = ref2.Next {
lenHeadB++
}
offset := int(math.Abs(float64(lenHeadA) - float64(lenHeadB)))
if lenHeadA > lenHeadB {
for j := 0; j < offset; j, newHeadA = j+1, newHeadA.Next {
}
} else {
for j := 0; j < offset; j, newHeadB = j+1, newHeadB.Next {
}
}
for ; newHeadA.Next != newHeadB.Next; newHeadA, newHeadB = newHeadA.Next, newHeadB.Next {
}
if newHeadA == newHeadB {
return newHeadA
}
return newHeadA.Next
}
func helper(h1, h2 *ListNode, diff int) *ListNode {
// Move h1 till the diff
for i := 0; i < diff; i++ {
h1 = h1.Next
}
// Move both pointer one by one, where they meet is intersection
for h1 != nil && h2 != nil {
if h1 == h2 {
return h1
}
h1 = h1.Next
h2 = h2.Next
}
return nil
}
func getIntersectionNode(headA, headB *ListNode) *ListNode {
if headA == nil || headB == nil {
return nil
}
// Find length of first linkedlist
var n = 0
h1 := headA
for h1 != nil {
n++
h1 = h1.Next
}
var m = 0
h2 := headB
for h2 != nil {
m++
h2 = h2.Next
}
diff := int(math.Abs(float64(n - m)))
fmt.Println(n, m)
if n >= m {
return helper(headA, headB, diff)
} else {
return helper(headB, headA, diff)
}
}
func getIntersectionNode(headA, headB *ListNode) *ListNode {
lenx := func(head *ListNode) int {
n := 0
for ; head != nil; head = head.Next {
n++
}
return n
}
n1, n2 := lenx(headA), lenx(headB)
if n1 > n2 {
n1, n2 = n2, n1
headA, headB = headB, headA
}
for i := 0; i < n2-n1; i++ {
headB = headB.Next
}
for i := 0; i < n1; i++ {
if headA == headB {
return headA
}
headA = headA.Next
headB = headB.Next
}
return nil
}
댓글 영역